基本信息:
中文名称 	环丙基萘啶羧酸
中文别名 	环丙萘啶羧酸;1-环丙基-6-氟-7-氯-4-氧-1,4-二氢-1,8-萘啶-3-羧酸;1-环丙基-4-氧代-6-氟-7-氯-1,4-二氢-1,8-萘啶-3-甲酸;
英文名称 	7-Chloro-1-Cyclopropyl-6-Fluoro-4-Oxo-1,4-Dihydro-1,8-Naphthyridine-3-Carboxylic Acid
英文别名 	7-Chloro-1-cyclopropyl-6-fluoro-4-oxo-1,4-dihydro-[1,8]naphthyridine-3-carboxylic Acid;7-Chloro-1-cyclopropyl-6-fluoro-4-oxo-1,4-dihydro-1,8-naphthyridine-3-carboxylic acid;1-Cyclopropyl-6-fluoro-7-chloro-4-oxo-1,4-dihydro-1,8-naphthyridine-3-carboxylic acid;
CAS号 	100361-18-0
合成路线:
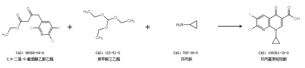
1.通过2,6-二氯-5-氟烟酰乙酸乙酯合成环丙基萘啶羧酸

2.通过2,6-二氯-5-氟烟酰乙酸乙酯、原甲酸三乙酯和环丙胺合成环丙基萘啶羧酸

中华试剂网提醒:合成路线仅供参考