基本信息:
中文名称 过氧化丁二酸
中文别名 过氧化琥珀酸;
英文名称 4-(3-carboxypropanoylperoxy)-4-oxobutanoic acid
英文别名 Alfozono;Succinyl peroxide;peroxydicuccinic acid;Disuccinoyl peroxide;Peroxydisuccinic acid;succinic acid acyl peroxide;Succinic acid peroxide;SUCCINOYL PEROXIDE;Peroyl SA;Succinic peroxide;Alphozone;
CAS号 123-23-9
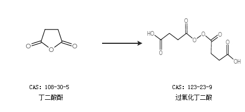
合成路线:
1.通过丁二酸酐合成过氧化丁二酸

中华试剂网提醒:合成路线仅供参考