基本信息:
中文名称 甘油磷酸钠
中文别名 Α-甘油磷酸二钠盐;alpha-甘油磷酸二钠盐;
英文名称 Sodium 3-phosphoglycerate
英文别名 SODIUM-A-GLYCEROPHOSPHATE;GLYCEROPHOSPHORIC ACID SODIUM SALT;sodium dl-glycerophosphate;glycerol-3-phosphate disodium salt;Sodium Glycerophophate;
CAS号 17603-42-8
合成路线:
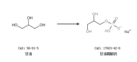
1.通过甘油合成甘油磷酸钠

2.通过环氧氯丙烷合成甘油磷酸钠

中华试剂网提醒:合成路线仅供参考