你好,欢迎来到中华试剂网 购试剂 买耗材! [请登录][注册有惊喜]

货号快速下单 | 签到送积分   | 会员中心 | 客服热线:400-021-2765

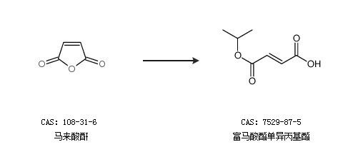
富马酸酯单异丙基酯的合成路线

提问时间:2021/4/26 17:08:07
富马酸酯单异丙基酯是什么,有什么方法可以合成?

1条回复:

匿名
2021/4/26 17:08:07
基本信息:
中文名称 富马酸酯单异丙基酯
中文别名 富马酸单异丙酯;富马酸酯单异丙酯;富马酸酯单异丙酯;
英文名称 Monoisopropyl Fumarate
英文别名 4-oxo-4-propan-2-yloxybut-2-enoate;
CAS号 7529-87-5

合成路线:
1.通过富马酸和异丙醇合成富马酸酯单异丙基酯,收率约3%;


2.通过马来酸酐合成富马酸酯单异丙基酯


中华试剂网提醒:合成路线仅供参考
回复