你好,欢迎来到中华试剂网 购试剂 买耗材! [请登录][注册有惊喜]

货号快速下单 | 签到送积分   | 会员中心 | 客服热线:400-021-2765

氟碘乙酸乙酯的合成路线

提问时间:2021/4/26 17:08:07
氟碘乙酸乙酯是什么,有什么方法可以合成?

1条回复:

匿名
2021/4/26 17:08:07
基本信息:
中文名称 氟碘乙酸乙酯
英文名称 Ethyl iodofluoroacetate
英文别名 ethyl 2-fluoro-2-iodoacetate;
CAS号 401-58-1

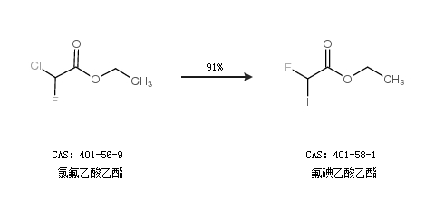
合成路线:
1.通过溴氟乙酸乙酯合成氟碘乙酸乙酯


2.通过氯氟乙酸乙酯合成氟碘乙酸乙酯,收率约91%;


中华试剂网提醒:合成路线仅供参考
回复