你好,欢迎来到中华试剂网 购试剂 买耗材! [请登录][注册有惊喜]

货号快速下单 | 签到送积分   | 会员中心 | 客服热线:400-021-2765

二吡啶-4-甲酮的合成路线

提问时间:2021/4/26 17:08:07
二吡啶-4-甲酮是什么,有什么方法可以合成?

1条回复:

匿名
2021/4/26 17:08:07
基本信息:
中文名称 二吡啶-4-甲酮
中文别名 二吡啶-4-基甲酮;
英文名称 dipyridin-4-ylMethanone
英文别名 4,4''-dipyridylketone;Methanone,di-4-pyridinyl;
CAS号 6918-15-6

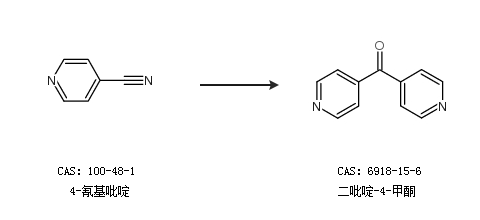
合成路线:
1.通过4-溴吡啶合成二吡啶-4-甲酮


2.通过4-氰基吡啶合成二吡啶-4-甲酮


中华试剂网提醒:合成路线仅供参考
回复