你好,欢迎来到中华试剂网 购试剂 买耗材! [请登录][注册有惊喜]

货号快速下单 | 签到送积分   | 会员中心 | 客服热线:400-021-2765

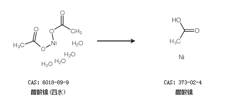
醋酸镍的合成路线

提问时间:2021/4/26 17:08:07
醋酸镍是什么,有什么方法可以合成?

1条回复:

匿名
2021/4/26 17:08:07
基本信息:
中文名称 醋酸镍
中文别名 乙酸镍(II)盐;乙酸镍;
英文名称 Nickelous acetate
英文别名 nickelous diacetate;anhydrous nickel acetate;Nickel diacetate;
CAS号 373-02-4

合成路线:
1.通过醋酸镍(四水)合成醋酸镍


2.通过双(1,5-环辛二烯)镍(0)和乙酸乙烯酯合成醋酸镍


中华试剂网提醒:合成路线仅供参考
回复