基本信息:
中文名称 	草酸酰胺乙酯
中文别名 	草酰胺酸乙酯;草氨酸乙酯;
英文名称 	ethyl 2-amino-2-oxoacetate
英文别名 	ethyl carbamoylformate;Ethyl oxamate;Oxamic acid ethyl ester;Ethoxalamide;ethyl ester of oxamic acid;Oxamidic Acid Ethyl Ester;Oxamethane;Ethandisaeure-amid-ethylester;ethyl 2-aminooxamate;oxalamic acid ethyl ester;
CAS号 	617-36-7
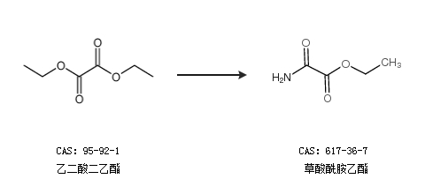
合成路线:
1.通过乙二酸二乙酯和尿素合成草酸酰胺乙酯,收率约81%;

2.通过乙二酸二乙酯合成草酸酰胺乙酯

中华试剂网提醒:合成路线仅供参考