基本信息:
中文名称 草铵膦
中文别名 2-氨基-4-[羟基(甲基)膦酰基]丁酸铵;2-氨基-4-[羟基(甲基)膦酰基]丁酸铵盐,DL-草胺膦;草胺磷;双丙氨磷;草丁膦;(RS)-2-氨基-4-(羟基甲基氧瞵基)丁酸铵;4-(羟基(甲基)膦酰基)-DL-高丙氨酸;草铵磷,草丁磷;4-[羟基(甲基)膦酰基]-DL-高丙氨酸;
英文名称 glufosinate-ammonium
英文别名 2-amino-4-(hydroxymethylphosphinyl)butanoic acid monoammonium salt;Glufosinate Ammonium;Glufosinate-ammonium;ammonium (2RS)-2-amino-4-(methylphosphinato)butyric acid;
CAS号 77182-82-2
合成路线:
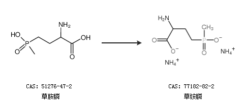
1.通过草胺膦合成草铵膦

中华试剂网提醒:合成路线仅供参考