基本信息:
中文名称 	丙戊酸
中文别名 	2-丙基戊酸;2-正丙基正戊酸;2,2-二-正丙基乙酸;A-丙基戊酸;α-丙基戊酸;二丙基乙酸;2,2-二正丙基乙酸;
英文名称 	valproic acid
英文别名 	Convulex;Valproate;2,2-BIS(TRIFLUOROMETHYL)PROPIONIC ACID;di-n-propyl-acetic acid;Ergenyl;2-propyl-pentanoic acid;Dipropylacetic acid;[14C]-Valproic acid;VALPROIC ACID;Depakine;Depakene;2-Propylvaleric acid;[3H]-Valproic acid;Mylproin;sodium valproate;2-Propylpentanoic acid;
CAS号 	99-66-1
合成路线:
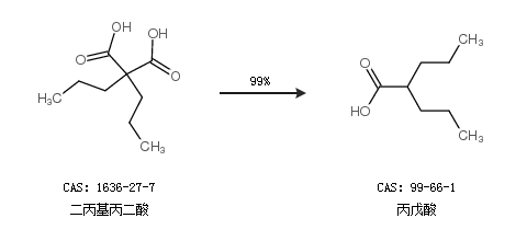
1.通过二丙基丙二酸合成丙戊酸,收率约99%;

2.通过乙酰乙酸乙酯和溴代正丙烷合成丙戊酸

中华试剂网提醒:合成路线仅供参考