基本信息:
中文名称 	丙酸-2-苯乙酯
中文别名 	2-苯基乙基丙酸酯;2-苯乙基丙酸酯;丙酸苯乙酯;
英文名称 	2-Phenylethyl Propionate
英文别名 	Propionic Acid Phenethyl Ester;2-Phenylethyl propionate;Phenethyl Propionate;Phenylethanol propanoate;2-phenylethyl propanoate;Propionic Acid 2-Phenylethyl Ester;
CAS号 	122-70-3
合成路线:
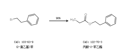
1.通过(2-溴乙基)苯合成丙酸-2-苯乙酯,收率约98%;

2.通过苯乙醇和丙醛合成丙酸-2-苯乙酯,收率约89%;

中华试剂网提醒:合成路线仅供参考