基本信息:
中文名称 	苯并咪唑并[2,1-A]苯并[D,E]异奎千酮-7-酮
中文别名 	7H-苯并咪唑并[2,1-A]苯并[DE]异喹啉-7-酮;
英文名称 	Yellow-green 490RT
英文别名 	7-H-benzimidazo<2,1-a>benzo<d,e>isoquinolin-7-one;Luminogren;EINECS 245-865-7;Luminor 2;12H-Naphtho<1'',8'',8''a-3,4,5>pyrido<1,2-a>benzimidazole-12-one;Luminor Yellow Green 490RT;Luminophor 2;Naphthoylenebenzimidazole;solvent yellow 184;
CAS号 	23749-58-8
合成路线:
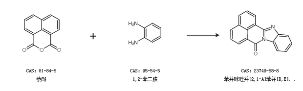
1.通过萘酐和1,2-苯二胺合成苯并咪唑并[2,1-A]苯并[D,E]异奎千酮-7-酮

中华试剂网提醒:合成路线仅供参考