你好,欢迎来到中华试剂网 购试剂 买耗材! [请登录][注册有惊喜]

货号快速下单 | 签到送积分   | 会员中心 | 客服热线:400-021-2765

苯并[j]荧蒽的合成路线

提问时间:2021/4/26 17:08:07
苯并[j]荧蒽是什么,有什么方法可以合成?

1条回复:

匿名
2021/4/26 17:08:07
基本信息:
中文名称 苯并[j]荧蒽
中文别名 苯并荧蒽;
英文名称 Benzo[j]fluoranthene
英文别名 10,11-Benzofluoranthene;Benzo<j>fluoroanthen;7,8-Benzofluoranthene;10,11-Benzfluoranthene;
CAS号 205-82-3

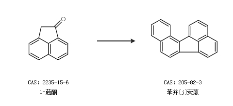
合成路线:
1.通过1-甲氧基萘合成苯并[j]荧蒽


2.通过1-苊酮合成苯并[j]荧蒽


中华试剂网提醒:合成路线仅供参考
回复