你好,欢迎来到中华试剂网 购试剂 买耗材! [请登录][注册有惊喜]

货号快速下单 | 签到送积分   | 会员中心 | 客服热线:400-021-2765

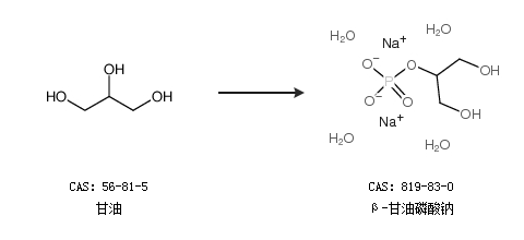
β-甘油磷酸钠的合成路线

提问时间:2021/4/26 17:08:07
β-甘油磷酸钠是什么,有什么方法可以合成?

1条回复:

匿名
2021/4/26 17:08:07
基本信息:
中文名称 β-甘油磷酸钠
中文别名 beta-甘油磷酸钠(五水);
英文名称 beta-Glycerophosphoric acid disodium salt
英文别名 Disodium β-glycerophosphate pentahydrate;
CAS号 819-83-0

合成路线:
1.通过甘油合成β-甘油磷酸钠


中华试剂网提醒:合成路线仅供参考
回复