基本信息:
中文名称 	Z-PHE-GLY-GLY-OH
英文名称 	2-[[2-[[3-phenyl-2-(phenylmethoxycarbonylamino)propanoyl]amino]acetyl]amino]acetic acid
英文别名 	N-benzyloxycarbonyl-L-phenylalanylglycylglycine;Z-Phe-Gly-Gly-OH;
CAS号 	37700-64-4
合成路线:
1.通过双甘肽合成Z-PHE-GLY-GLY-OH,收率约10%;

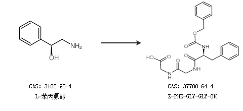
2.通过L-苯丙氨醇合成Z-PHE-GLY-GLY-OH

中华试剂网提醒:合成路线仅供参考