基本信息:
中文名称 	N-乙基-3-羟基哌啶
中文别名 	1-乙基-3-哌啶醇;1-乙基-3-羟基哌啶;
英文名称 	1-ETHYL-3-HYDROXYPIPERIDINE
英文别名 	1-ethylpiperidin-3-ol;1-Ethylpiperidin-3-ol;1-Ethyl-3-hydroxypiperidine;1-Ethyl-3-piperidinol;
CAS号 	13444-24-1
合成路线:
1.通过1-乙基哌啶-3-酮合成N-乙基-3-羟基哌啶

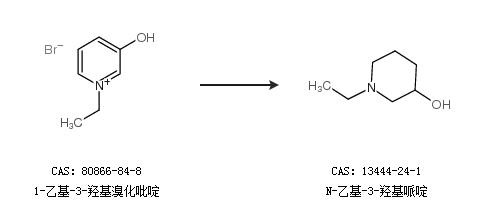
2.通过1-乙基-3-羟基溴化吡啶合成N-乙基-3-羟基哌啶

中华试剂网提醒:合成路线仅供参考