基本信息:
中文名称 	N-Boc-1H-吡唑-1-甲脒
中文别名 	N-(叔丁氧基羰基)-1H-吡唑-1-羧酰胺;N-Boc-吡唑-1-甲脒;N-BOC-吡唑-1-甲脒;1-[N-(叔丁氧羰基)甲脒基]吡唑;N-(叔丁氧羰基)-1H-吡唑-1-甲脒;1-(N-Boc-甲脒基)吡唑;单BOC脒 N-BOC-1H-吡唑-1-甲脒;
英文名称 	N-Boc-1H-pyrazole-1-carboxamidine
英文别名 	N-(Tert-Butoxycarbonyl)-1 H-Pyrazole-1-Carboxamidine;1-[N-(tert-Butoxycarbonyl)carbamimidoyl]pyrazole;N-Boc-1H-pyrazole-1-Carboxamidine;N-Boc-1H-pyrazole-1-carboximidamide;1-[N-(tert-Butoxycarbonyl)amidino]pyrazole;1-(N-Boc-amidino)pyrazole;N-(tert-Butoxycarbonyl)-1H-pyrazole-1-carboximidamide;N-(tert-Butoxycarbonyl)-1H-pyrazole-1-carboxamidine;N-Boc-1-Guanylpyrazole;1-(N-Boc-carbamimidoyl)pyrazole;
CAS号 	152120-61-1
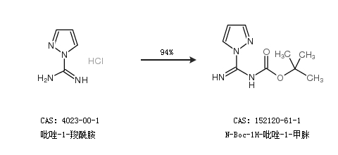
合成路线:
1.通过1H-吡唑-1-甲脒盐酸盐合成N-Boc-1H-吡唑-1-甲脒,收率约99%;

2.通过吡唑-1-羧酰胺合成N-Boc-1H-吡唑-1-甲脒,收率约94%;

中华试剂网提醒:合成路线仅供参考