你好,欢迎来到中华试剂网 购试剂 买耗材! [请登录][注册有惊喜]

货号快速下单 | 签到送积分   | 会员中心 | 客服热线:400-021-2765

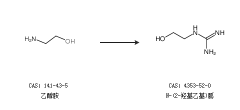
N-(2-羟基乙基)胍的合成路线

提问时间:2021/4/26 17:08:07
N-(2-羟基乙基)胍是什么,有什么方法可以合成?

1条回复:

匿名
2021/4/26 17:08:07
基本信息:
中文名称 N-(2-羟基乙基)胍
英文名称 2-(2-Hydroxyethyl)guanidine
英文别名 hydroxyethylguanidine;
CAS号 4353-52-0

合成路线:
1.通过乙醇胺合成N-(2-羟基乙基)胍,收率约99%;


2.通过乙醇胺合成N-(2-羟基乙基)胍


中华试剂网提醒:合成路线仅供参考
回复