你好,欢迎来到中华试剂网 购试剂 买耗材! [请登录][注册有惊喜]

货号快速下单 | 签到送积分   | 会员中心 | 客服热线:400-021-2765

L-缬氨酰-甘氨酸的合成路线

提问时间:2021/4/26 17:08:07
L-缬氨酰-甘氨酸是什么,有什么方法可以合成?

1条回复:

匿名
2021/4/26 17:08:07
基本信息:
中文名称 L-缬氨酰-甘氨酸
英文名称 H-VAL-GLY-OH
英文别名 L-val-L-gly;L-valylglycine;L-VALYL-L-GLYCINE;L-VAL-GLY;valineglycine;valylglycine;VAL-GLY;
CAS号 686-43-1

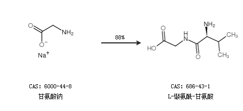
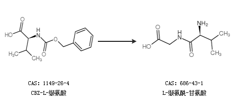
合成路线:
1.通过甘氨酸钠合成L-缬氨酰-甘氨酸,收率约88%;


2.通过CBZ-L-缬氨酸合成L-缬氨酰-甘氨酸


中华试剂网提醒:合成路线仅供参考
回复