基本信息:
中文名称 8-氧代-5,6,7,8-四氢喹啉-2-羧酸
英文名称 8-oxo-6,7-dihydro-5H-quinoline-2-carboxylic acid
英文别名 6,7-dihydro-8(5H)-quinolinone-2-carboxylic acid;8-Oxo-5,6,7,8-tetrahydroquinoline-2-carboxylic acid;
CAS号 238755-39-0
合成路线:
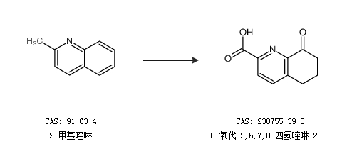
1.通过2-甲基喹啉合成8-氧代-5,6,7,8-四氢喹啉-2-羧酸

2.通过5,6,7,8-四氢-2-甲基喹啉合成8-氧代-5,6,7,8-四氢喹啉-2-羧酸

中华试剂网提醒:合成路线仅供参考