你好,欢迎来到中华试剂网 购试剂 买耗材! [请登录][注册有惊喜]

货号快速下单 | 签到送积分   | 会员中心 | 客服热线:400-021-2765

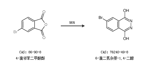
6-溴二氮杂萘-1,4-二醇的合成路线

提问时间:2021/4/26 17:08:07
6-溴二氮杂萘-1,4-二醇是什么,有什么方法可以合成?

1条回复:

匿名
2021/4/26 17:08:07
基本信息:
中文名称 6-溴二氮杂萘-1,4-二醇
英文名称 6-Bromophthalazine-1,4-diol
英文别名 6-bromo-2,3-dihydrophthalazine-1,4-dione;
CAS号 76240-49-8

合成路线:
1.通过4-溴邻苯二甲酸酐合成6-溴二氮杂萘-1,4-二醇,收率约96%;


中华试剂网提醒:合成路线仅供参考
回复