基本信息:
中文名称 6-氯-2,3-二甲基喹喔啉
英文名称 6-CHLORO-2,3-DIMETHYLQUINOXALINE
英文别名 CCG-3;6-Chlor-2,3-dimethyl-chinoxalin;2,3-Dimethyl-6-chloroquinoxaline;6-chloro-2,3-dimethyl-quinoxaline;
CAS号 17911-93-2
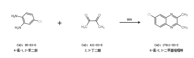
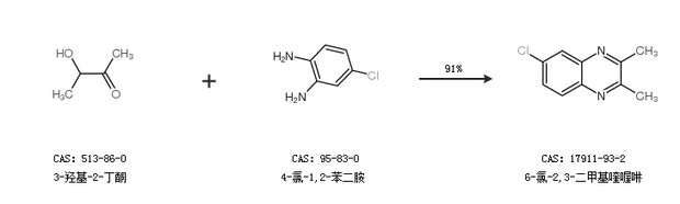
合成路线:
1.通过4-氯-1,2-苯二胺和2,3-丁二酮合成6-氯-2,3-二甲基喹喔啉,收率约98%;

2.通过3-羟基-2-丁酮和4-氯-1,2-苯二胺合成6-氯-2,3-二甲基喹喔啉,收率约91%;

中华试剂网提醒:合成路线仅供参考