你好,欢迎来到中华试剂网 购试剂 买耗材! [请登录][注册有惊喜]

货号快速下单 | 签到送积分   | 会员中心 | 客服热线:400-021-2765

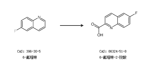
6-氟喹啉-2-羧酸的合成路线

提问时间:2021/4/26 17:08:07
6-氟喹啉-2-羧酸是什么,有什么方法可以合成?

1条回复:

匿名
2021/4/26 17:08:07
基本信息:
中文名称 6-氟喹啉-2-羧酸
英文名称 6-Fluoroquinoline-2-carboxylic acid
英文别名 6-fluoroquinoline-2-carboxylic acid;
CAS号 86324-51-8

合成路线:
1.通过6-氟-2-甲基喹啉合成6-氟喹啉-2-羧酸


2.通过6-氟喹啉合成6-氟喹啉-2-羧酸


中华试剂网提醒:合成路线仅供参考
回复