你好,欢迎来到中华试剂网 购试剂 买耗材! [请登录][注册有惊喜]

货号快速下单 | 签到送积分   | 会员中心 | 客服热线:400-021-2765

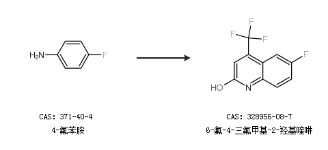
6-氟-4-三氟甲基-2-羟基喹啉的合成路线

提问时间:2021/4/26 17:08:07
6-氟-4-三氟甲基-2-羟基喹啉是什么,有什么方法可以合成?

1条回复:

匿名
2021/4/26 17:08:07
基本信息:
中文名称 6-氟-4-三氟甲基-2-羟基喹啉
中文别名 6-氟-4-(三氟甲基)-2(1h)-喹啉酮;
英文名称 6-fluoro-4-(trifluoromethyl)-1H-quinolin-2-one
英文别名 TD8163;
CAS号 328956-08-7

合成路线:
1.通过4-氟苯胺合成6-氟-4-三氟甲基-2-羟基喹啉


2.通过三氟乙酰乙酸乙酯和4-氟苯胺合成6-氟-4-三氟甲基-2-羟基喹啉,收率约10%;


中华试剂网提醒:合成路线仅供参考
回复