基本信息:
中文名称 6H-嘌呤-6-酮
英文名称 6H-PURIN-6-ONE, 1,9-DIHYDRO-9-[3-[[(4-METHOXYPHENYL)DIPHENYLMETHOXY]METHYL]-4-[[(4-METHYLPHENYL)SULFONYL]OXY]BUTYL]-2-[[(4-METHOXYPHENYL)DIPHENYLMETHYL]AMINO]-
英文别名 N2-(p-anisyldiphenylmethyl)-9-[(4-(p-toluenesulfonyloxy))-3-p-anisyldiphenylmethoxy-methyl-butyl]guanine;TOSYL-FHBG;N2-(P-ANISYLDIPHENYLMETHYL)-9-[(4-(P-TOLUOLSULFONYLOXY))-3-P-ANISYLDIPHENYLMETHOXY-METHYLBUTYL]GUANINE;6H-Purin-6-one,1,9-dihydro-9;6H-Purin-6-one,1,9-dihydro-9-[3-[[(4-methoxyphenyl)diphenylmethoxy]methyl]-4-[[(4-methylphenyl)sulfonyl]oxy]butyl]-2-[[(4-methoxyphenyl)diphenylmethyl]amino];3-N-trityl-9-(4-tosyl-3-O-tritylmethylbutyl)guanine;N2-(p-Anisyldiphenylmethyl)-9-[(4-(p-toluolsulfonyloxy))-3-p-anisyldiphenylmethoxy-methylbutyl]guanin;N2-(p-anisyldiphenylmethyl)-9-[(4-tosyl)-3-p-anisyldiphenylmethoxymethylbutyl]guanine;
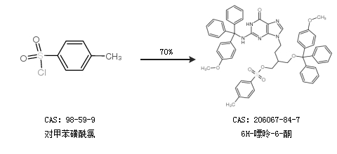
CAS号 206067-84-7
合成路线:
1.通过对甲苯磺酰氯合成6H-嘌呤-6-酮,收率约70%;

2.通过9-[4-羟基-3-(羟甲基)-丁基]-鸟嘌呤合成6H-嘌呤-6-酮

中华试剂网提醒:合成路线仅供参考