基本信息:
中文名称 6,7-二氯-1,4-二羟基蒽醌
英文名称 6,7-dichloro-1,4-dihydroxyanthracene-9,10-dione
英文别名 6,7-Dichloroquinizarin;6,7-Dichlor-chinizarin;6,7-Dichloro-1,4-dihydroxyanthraquinone;6,7-dichloro-1,4-dihydroxy-9,10-anthraquinone;6,7-Dichlor-1,4-dihydroxy-anthrachinon;EINECS 214-954-2;
CAS号 1225-15-6
合成路线:
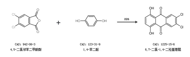
1.通过4,5-二氯邻苯二甲酸酐和1,4-苯二酚合成6,7-二氯-1,4-二羟基蒽醌,收率约89%;

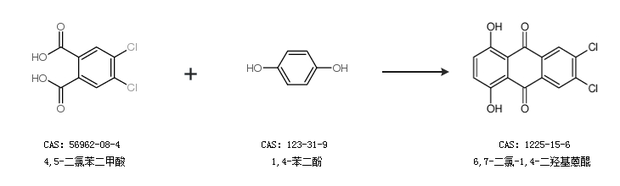
2.通过4,5-二氯苯二甲酸和1,4-苯二酚合成6,7-二氯-1,4-二羟基蒽醌

中华试剂网提醒:合成路线仅供参考