基本信息:
中文名称 6,7,8-三氟-1,4-二氢-4-氧代-3-喹啉羧酸乙酯
中文别名 6,7,8-三氟-1,4-二氢-4-氧代喹啉-3-甲酸乙酯;3-乙氧基羰基-6,7,8-三氟-1,4-氢-4-氧喹啉;
英文名称 ethyl 6,7,8-trifluoro-4-oxo-1H-quinoline-3-carboxylate
英文别名 6,7,8-Triacetoxy-cumarin;6,7,8-trifluoro-4-quinolone-3-carboxylic acid ethyl ester;2H-1-Benzopyran-2-one,6,7,8-tris(acetyloxy);ethyl 6,7,8-trifluoro-1,4-dihydro-4-oxoquinoline-3-carboxylate;ethyl 6,7,8-trifluoro-1,4-dihydro-4-oxo-3-quinolinecarboxylate;6,7,8-triacetoxy-coumarin;ethyl 6,7,8-trifluoro-4-oxo-1,4-dihydroquinoline-3-carboxylate;6,7,8-trifluoro-1,4-dihydro-4-oxo-3-quinoline carboxylic acid ethyl ester;
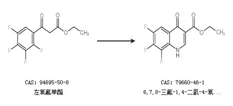
CAS号 79660-46-1
合成路线:
1.通过2,3,4-三氟苯胺合成6,7,8-三氟-1,4-二氢-4-氧代-3-喹啉羧酸乙酯

2.通过左氧氟单酯合成6,7,8-三氟-1,4-二氢-4-氧代-3-喹啉羧酸乙酯

中华试剂网提醒:合成路线仅供参考