基本信息:
中文名称 6-(4-吗啉)-1H-嘌呤
英文名称 4-(7H-purin-6-yl)morpholine
英文别名 4-(9h-purin-6-yl)morpholine;6-Morpholinopurine;6-(morpholin-1-yl)-9H-purine;2wmu;6-morpholin-4-yl-7(9)H-purine;4-purin-6-ylmorpholine;6-(morpholin-4-yl)-9H-purine;6-Morpholino-9H-purine;
CAS号 2846-96-0
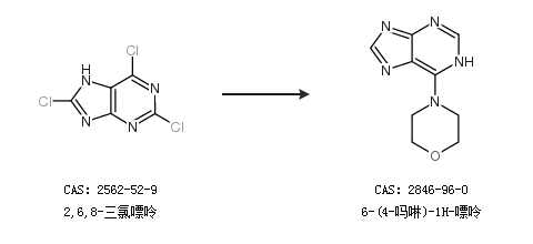
合成路线:
1.通过吗啉和6-甲巯基嘌呤合成6-(4-吗啉)-1H-嘌呤

2.通过2,6,8-三氯嘌呤合成6-(4-吗啉)-1H-嘌呤

中华试剂网提醒:合成路线仅供参考