你好,欢迎来到中华试剂网 购试剂 买耗材! [请登录][注册有惊喜]

货号快速下单 | 签到送积分   | 会员中心 | 客服热线:400-021-2765

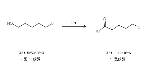
5-氯戊酸的合成路线

提问时间:2021/4/26 17:08:06
5-氯戊酸是什么,有什么方法可以合成?

1条回复:

匿名
2021/4/26 17:08:06
基本信息:
中文名称 5-氯戊酸
中文别名 5-氯正戊酸;
英文名称 5-chloropentanoic acid
英文别名 5-Chlorovaleric Acid;5-Chloropentanoic Acid;5-Chlorovaleric acid;
CAS号 1119-46-6

合成路线:
1.通过5-氯-1-戊醇合成5-氯戊酸,收率约90%;


2.通过1,1,1,5-四氯戊烷合成5-氯戊酸


中华试剂网提醒:合成路线仅供参考
回复