你好,欢迎来到中华试剂网 购试剂 买耗材! [请登录][注册有惊喜]

货号快速下单 | 签到送积分   | 会员中心 | 客服热线:400-021-2765

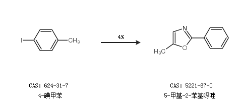
5-甲基-2-苯基噁唑的合成路线

提问时间:2021/4/26 17:08:06
5-甲基-2-苯基噁唑是什么,有什么方法可以合成?

1条回复:

匿名
2021/4/26 17:08:06
基本信息:
中文名称 5-甲基-2-苯基噁唑
英文名称 5-methyl-2-phenyl-1,3-oxazole
英文别名 Oxazole,5-methyl-2-phenyl;5-Methyl-2-phenyloxazole;
CAS号 5221-67-0

合成路线:
1.通过4-碘代苯乙酮合成5-甲基-2-苯基噁唑,收率约8%;


2.通过4-碘甲苯合成5-甲基-2-苯基噁唑,收率约4%;


中华试剂网提醒:合成路线仅供参考
回复