基本信息:
中文名称 5’-氯-4’-氟-2’-硝基乙酰苯胺
英文名称 N-(5-chloro-4-fluoro-2-nitrophenyl)acetamide
英文别名 3''-chloro-4''-fluoro-6''-nitroacetanilide;2-nitro-4-fluoro-5-chloroacetanilide;N-(3-chloro-4-fluoro-2-nitrophenyl)acetamide;5-chloro-4-fluoro-2-nitro-acetanilide;N-(3-chloro-4-fluoro-6-nitrophenyl)acetamide;
CAS号 81962-58-5
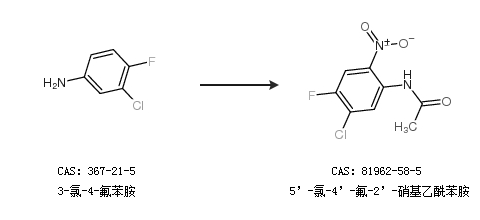
合成路线:
1.通过3-氟-4-氟乙酰苯胺合成5’-氯-4’-氟-2’-硝基乙酰苯胺,收率约67%;

2.通过3-氯-4-氟苯胺合成5’-氯-4’-氟-2’-硝基乙酰苯胺

中华试剂网提醒:合成路线仅供参考