你好,欢迎来到中华试剂网 购试剂 买耗材! [请登录][注册有惊喜]

货号快速下单 | 签到送积分   | 会员中心 | 客服热线:400-021-2765

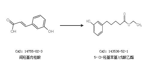
5-(3-羟基苯基)戊酸乙酯的合成路线

提问时间:2021/4/26 17:08:06
5-(3-羟基苯基)戊酸乙酯是什么,有什么方法可以合成?

1条回复:

匿名
2021/4/26 17:08:06
基本信息:
中文名称 5-(3-羟基苯基)戊酸乙酯
中文别名 3-羟基戊烯酸乙酯;
英文名称 ethyl 5-(3-hydroxyphenyl)pentanoate
英文别名 Benzenepentanoicacid,3-hydroxy-,ethyl ester;
CAS号 143536-52-1

合成路线:
1.通过3-(苯基甲氧基)-苯丙醛合成5-(3-羟基苯基)戊酸乙酯


2.通过间羟基肉桂酸合成5-(3-羟基苯基)戊酸乙酯


中华试剂网提醒:合成路线仅供参考
回复