基本信息:
中文名称 4-氧-缬纱坦苄酯
英文名称 benzyl (2S)-3-methyl-2-[4-oxopentanoyl-[[4-[2-(2H-tetrazol-5-yl)phenyl]phenyl]methyl]amino]butanoate
英文别名 (S)-N-(4-Oxo-valeryl)-N-[(2''-(1H-tetrazol-5-yl)biphenyl-4-yl)methyl]valine benzyl ester;4-Oxo Valsartan Benzyl Ester;N-(1,4-Dioxopentyl)-N-[[2''-(1H-tetrazol-5-yl)[1,1''-biphenyl]-4-yl]methyl]-L-valine Phenylmethyl Ester;
CAS号 188240-32-6
合成路线:
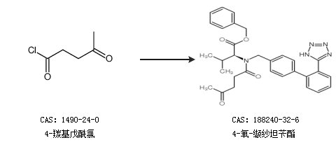
1.通过4-羰基戊酰氯合成4-氧-缬纱坦苄酯

中华试剂网提醒:合成路线仅供参考