你好,欢迎来到中华试剂网 购试剂 买耗材! [请登录][注册有惊喜]

货号快速下单 | 签到送积分   | 会员中心 | 客服热线:400-021-2765

4-己烯-1-醇的合成路线

提问时间:2021/4/26 17:08:05
4-己烯-1-醇是什么,有什么方法可以合成?

1条回复:

匿名
2021/4/26 17:08:05
基本信息:
中文名称 4-己烯-1-醇
英文名称 hex-4-en-1-ol
英文别名 4-Hexen-1-ol;4-Hexen-l-ol;Hexen-(2)-ol-(6);Fema no. 3430;hexene-4 ol-1;Hexen-(4)-ol-(1);
CAS号 6126-50-7

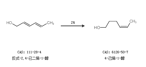
合成路线:
1.通过环己烷合成4-己烯-1-醇,收率约8%;


2.通过反式-2,4-已二烯-1-醇合成4-己烯-1-醇,收率约2%;


中华试剂网提醒:合成路线仅供参考
回复