你好,欢迎来到中华试剂网 购试剂 买耗材! [请登录][注册有惊喜]

货号快速下单 | 签到送积分   | 会员中心 | 客服热线:400-021-2765

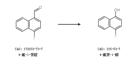
4-氟萘-1-醇的合成路线

提问时间:2021/4/26 17:08:05
4-氟萘-1-醇是什么,有什么方法可以合成?

1条回复:

匿名
2021/4/26 17:08:05
基本信息:
中文名称 4-氟萘-1-醇
英文名称 4-Fluoronaphthalen-1-ol
英文别名 4-fluoronaphthalen-1-ol;
CAS号 315-53-7

合成路线:
1.通过4-氟-1-萘醛合成4-氟萘-1-醇


2.通过1-萘酚合成4-氟萘-1-醇,收率约39%;


中华试剂网提醒:合成路线仅供参考
回复