基本信息:
中文名称 	4’-乙基联苯-4-胺
中文别名 	4''-乙基联苯-4-胺;
英文名称 	4''-Ethyl-[1,1''-biphenyl]-4-amine
英文别名 	4-(4-ethylphenyl)benzenamine;4''-Ethyl-4-biphenylamine;4-(4-ethylphenyl)aniline;4''-ethyl-4-aminobiphenyl;4-Amino-4''-aethyl-biphenyl;4-Amino-4''-ethylbiphenyl;
CAS号 	5728-70-1
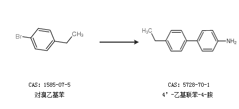
合成路线:
1.通过4-乙基苯硼酸和4-溴苯胺合成4’-乙基联苯-4-胺

2.通过对溴乙基苯合成4’-乙基联苯-4-胺

中华试剂网提醒:合成路线仅供参考