你好,欢迎来到中华试剂网 购试剂 买耗材! [请登录][注册有惊喜]

货号快速下单 | 签到送积分   | 会员中心 | 客服热线:400-021-2765

4,6-二氯吡啶-2-羧酸的合成路线

提问时间:2021/4/26 17:08:05
4,6-二氯吡啶-2-羧酸是什么,有什么方法可以合成?

1条回复:

匿名
2021/4/26 17:08:05
基本信息:
中文名称 4,6-二氯吡啶-2-羧酸
中文别名 4,6-二氯吡啶-2-甲酸;4,6-二氯-2-吡啶甲酸;
英文名称 4,6-Dichloropicolinic acid
英文别名 4,6-dichloropyridine-2-carboxylic acid;
CAS号 88912-25-8

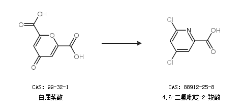
合成路线:
1.通过4,6-二氯-2-吡啶甲酸甲酯合成4,6-二氯吡啶-2-羧酸,收率约99%;


2.通过白屈菜酸合成4,6-二氯吡啶-2-羧酸


中华试剂网提醒:合成路线仅供参考
回复