基本信息:
中文名称 	4,5-二甲基噁唑-2-胺
中文别名 	4,5-二甲基-1,3-恶唑-2-胺;
英文名称 	4,5-dimethyl-1,3-oxazol-2-amine
英文别名 	4,5-Dimethyl-oxazol-2-ylamine;2-Oxazolamine,4,5-dimethyl;4,5-Dimethyloxazol-2-amine;4,5-Dimethyl-oxazol-2-ylamin;2-Amino-4,5-dimethyl-oxazol;2-amino-4,5-dimethyloxazole;
CAS号 	45529-92-8
合成路线:
1.通过单氰胺和3-羟基-2-丁酮合成4,5-二甲基噁唑-2-胺

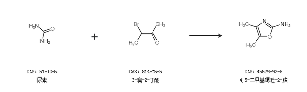
2.通过尿素和3-溴-2-丁酮合成4,5-二甲基噁唑-2-胺

中华试剂网提醒:合成路线仅供参考