你好,欢迎来到中华试剂网 购试剂 买耗材! [请登录][注册有惊喜]

货号快速下单 | 签到送积分   | 会员中心 | 客服热线:400-021-2765

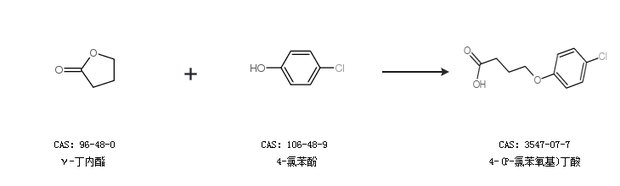
4-(P-氯苯氧基)丁酸的合成路线

提问时间:2021/4/26 17:08:05
4-(P-氯苯氧基)丁酸是什么,有什么方法可以合成?

1条回复:

匿名
2021/4/26 17:08:05
基本信息:
中文名称 4-(P-氯苯氧基)丁酸
中文别名 4-(4-氯苯氧基)丁酸;
英文名称 4-CPB
英文别名 4-(4-chlorophenoxy)butanoic acid;F3284-8001;4-(4-chlorophenoxy)butyric acid;
CAS号 3547-07-7

合成路线:
1.通过γ-丁内酯和对氯苯酚钠盐二水合成4-(P-氯苯氧基)丁酸


2.通过γ-丁内酯和4-氯苯酚合成4-(P-氯苯氧基)丁酸


中华试剂网提醒:合成路线仅供参考
回复