你好,欢迎来到中华试剂网 购试剂 买耗材! [请登录][注册有惊喜]

货号快速下单 | 签到送积分   | 会员中心 | 客服热线:400-021-2765

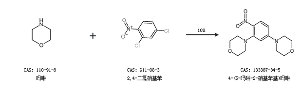
4-(5-吗啉-2-硝基苯基)吗啉的合成路线

提问时间:2021/4/26 17:08:05
4-(5-吗啉-2-硝基苯基)吗啉是什么,有什么方法可以合成?

1条回复:

匿名
2021/4/26 17:08:05
基本信息:
中文名称 4-(5-吗啉-2-硝基苯基)吗啉
中文别名 2,4-二(4-吗啉基)硝基苯;
英文名称 4,4''-(4-Nitro-1,3-phenylene)dimorpholine
CAS号 133387-34-5

合成路线:
1.通过吗啉和2,4-二氯硝基苯合成4-(5-吗啉-2-硝基苯基)吗啉,收率约61%;


2.通过吗啉和2,4-二氯硝基苯合成4-(5-吗啉-2-硝基苯基)吗啉,收率约10%;


中华试剂网提醒:合成路线仅供参考
回复