基本信息:
中文名称 4-(4-硝基苯基)苄醇
英文名称 [4-(4-nitrophenyl)phenyl]methanol
英文别名 4-(4-Nitrophenyl)benzyl alcohol;4''-Nitro-[1,1''-biphenyl]-4-methanol;(4''-nitro[1,1''-biphenyl]-4-yl)methanol;
CAS号 62037-99-4
合成路线:
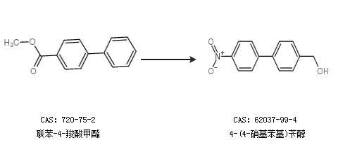
1.通过联苯-4-羧酸甲酯合成4-(4-硝基苯基)苄醇

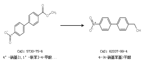
2.通过4’-硝基[1,1’-联苯]-4-甲酸甲酯合成4-(4-硝基苯基)苄醇

中华试剂网提醒:合成路线仅供参考