你好,欢迎来到中华试剂网 购试剂 买耗材! [请登录][注册有惊喜]

货号快速下单 | 签到送积分   | 会员中心 | 客服热线:400-021-2765

3-丁基吡啶的合成路线

提问时间:2021/4/26 17:08:05
3-丁基吡啶是什么,有什么方法可以合成?

1条回复:

匿名
2021/4/26 17:08:05
基本信息:
中文名称 3-丁基吡啶
英文名称 3-Butylpyridine
英文别名 3-n-Butylpyridine;3-BUTYLPYRIDINE;
CAS号 539-32-2

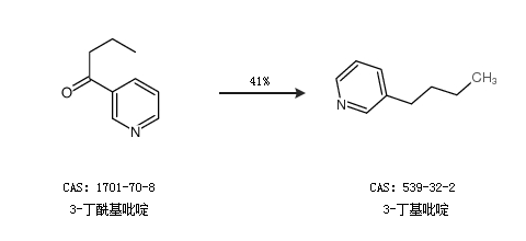
合成路线:
1.通过3-溴吡啶和三正丁基硼合成3-丁基吡啶,收率约89%;


2.通过3-丁酰基吡啶合成3-丁基吡啶,收率约41%;


中华试剂网提醒:合成路线仅供参考
回复