基本信息:
中文名称 3,4-二氢-7-甲氧基异喹啉
英文名称 Isoquinoline, 3,4-dihydro-7-methoxy-
英文别名 7-methoxy-3,4-dihydrophenanthren-1(2h)-one;7-methoxy-3,4-dihydroisoquinoline;3,4-dihydro-7-methoxyisoquinoline;
CAS号 184913-19-7
合成路线:
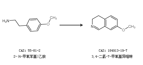
1.通过2-(4-甲氧苯基)乙胺合成3,4-二氢-7-甲氧基异喹啉

中华试剂网提醒:合成路线仅供参考