你好,欢迎来到中华试剂网 购试剂 买耗材! [请登录][注册有惊喜]

货号快速下单 | 签到送积分   | 会员中心 | 客服热线:400-021-2765

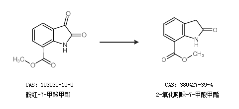
2-氧化吲哚-7-甲酸甲酯的合成路线

提问时间:2021/4/26 17:08:04
2-氧化吲哚-7-甲酸甲酯是什么,有什么方法可以合成?

1条回复:

匿名
2021/4/26 17:08:04
基本信息:
中文名称 2-氧化吲哚-7-甲酸甲酯
中文别名 吲哚酮-7-羧酸甲酯;2-吲哚酮-7-甲酸甲酯;
英文名称 Methyl oxindole-7-carboxylate
英文别名 Methyl 2-oxoindoline-7-carboxylate;methyl 2-oxo-1,3-dihydroindole-7-carboxylate;
CAS号 380427-39-4

合成路线:
1.通过靛红-7-甲酸甲酯合成2-氧化吲哚-7-甲酸甲酯


中华试剂网提醒:合成路线仅供参考
回复