基本信息:
中文名称 2-羟基-3-硝基吡啶
中文别名 2-羟基-6-硝基吡啶;
英文名称 3-Nitro-2-pyridinol
英文别名 3-NITRO-2-PYRIDONE;AURORA KA-2996;2-Hydroxy-3-Nitro;2-hydroxy-3-nitro-pyridine;hydroxynitropyridine;2-HYDRO-3-NITROPYRIDINE;3-Nitro-2-hydroxypyridine;2-Pyridinol,3-nitro;3-NITROPYRIDIN-2-OL;3-nitro-2-pyridino;
CAS号 6332-56-5
合成路线:
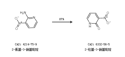
1.通过2-氨基-3-硝基吡啶合成2-羟基-3-硝基吡啶,收率约87%;

2.通过2-氯-3-硝基吡啶合成2-羟基-3-硝基吡啶,收率约99%;

中华试剂网提醒:合成路线仅供参考