基本信息:
中文名称 2-氯-6-乙氧基异烟酸
英文名称 2-chloro-6-ethoxyisonicotinic acid
英文别名 2-Aethoxy-6-chlor-isonicotinsaeure;6-CHLORO-2-ETHOXY-BENZO[D]THIAZOLE;2-ethoxy-6-chloro-benzothiazole;6-Chloro-2-ethoxybenzothiazole;2-ethoxy-6-chloro-isonicotinic acid;2-Aethoxy-6-chlor-benzothiazol;
CAS号 6291-10-7
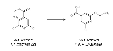
合成路线:
1.通过乙醇和2,6-二氯异烟酸合成2-氯-6-乙氧基异烟酸

2.通过2,6-二氯异烟酸乙酯合成2-氯-6-乙氧基异烟酸

中华试剂网提醒:合成路线仅供参考