你好,欢迎来到中华试剂网 购试剂 买耗材! [请登录][注册有惊喜]

货号快速下单 | 签到送积分   | 会员中心 | 客服热线:400-021-2765

2-氯-3-苯基喹啉的合成路线

提问时间:2021/4/26 17:08:04
2-氯-3-苯基喹啉是什么,有什么方法可以合成?

1条回复:

匿名
2021/4/26 17:08:04
基本信息:
中文名称 2-氯-3-苯基喹啉
英文名称 2-CHLORO-3-PHENYLQUINOLINE
英文别名 QU083;2-chloro-3-phenyl-quinoline;2-Chlor-3-phenyl-chinolin;
CAS号 2859-30-5

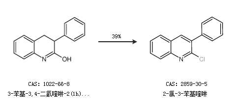
合成路线:
1.通过3-苯基-3,4-二氢喹啉-2(1h)-酮合成2-氯-3-苯基喹啉,收率约39%;


2.通过2-苯基乙酰苯胺和N,N-二甲基甲酰胺合成2-氯-3-苯基喹啉,收率约42%;


中华试剂网提醒:合成路线仅供参考
回复