基本信息:
中文名称 2-环己酮甲酸乙酯
中文别名 乙基2-环己酮甲酯;2-环己酮基羧酸乙酯;2-环已酮甲酸乙酯;邻环己酮甲酸乙酯;2-氧代环己烷甲酸乙酯;
英文名称 Ethyl 2-oxocyclohexanecarboxylate
英文别名 ethyl 2-oxocyclohexane-1-carboxylate;2-Oxocyclohexanecarboxylic Acid Ethyl Ester;
CAS号 1655-07-8
合成路线:
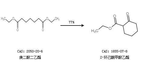
1.通过庚二酸二乙酯合成2-环己酮甲酸乙酯,收率约77%;

2.通过重氮乙酸乙酯和环戊酮合成2-环己酮甲酸乙酯,收率约71%;

中华试剂网提醒:合成路线仅供参考