基本信息:
中文名称 2-氟苯硼酸
中文别名 2-氟苯基硼酸;
英文名称 2-Fluorophenylboronic acid
英文别名 2-Flurorphenylboronic acid;2-Fluorobenzeneboronic acid o-fluoro-benzeneboronic acid;2-Fluorophenylboronic Acid;RARECHEM AH PB 0215;2-Fluorobenzeneboronicacid;2-Fluorobenzeneboronic Acid;(2-Fluorophenyl)boronic acid;2-Fluorophenylboronic;(ortho-fluorophenyl)boronic acid;O-FLUOROPHENYLBORONIC ACID;2-fluoro phenyl boronic acid;2-Fluorophenylboroni;o-fluorobenzeneboronic acid;
CAS号 1993-03-9
合成路线:
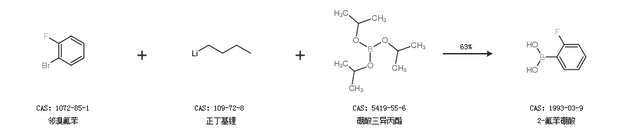
1.通过邻溴氟苯、正丁基锂和硼酸三异丙酯合成2-氟苯硼酸,收率约63%;

2.通过氟苯和硼酸三异丙酯合成2-氟苯硼酸,收率约92%;

中华试剂网提醒:合成路线仅供参考