你好,欢迎来到中华试剂网 购试剂 买耗材! [请登录][注册有惊喜]

货号快速下单 | 签到送积分   | 会员中心 | 客服热线:400-021-2765

2,8-二氯二苯并呋喃的合成路线

提问时间:2021/4/26 17:08:03
2,8-二氯二苯并呋喃是什么,有什么方法可以合成?

1条回复:

匿名
2021/4/26 17:08:03
基本信息:
中文名称 2,8-二氯二苯并呋喃
英文名称 2,8-Dichlorodibenzofuran
英文别名 2,8-dichlorodibenzofuran;2,8-DICHLORODIBENZOFURAN;
CAS号 5409-83-6

合成路线:
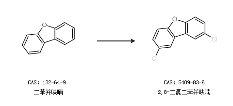
1.通过二苯并呋喃合成2,8-二氯二苯并呋喃


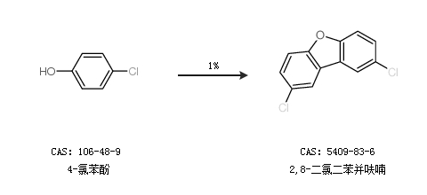
2.通过4-氯苯酚合成2,8-二氯二苯并呋喃,收率约1%;


中华试剂网提醒:合成路线仅供参考
回复